网站首页 小故事 第713页
-
萧山ufo事件真相(萧山ufo事件目击者)
这个已经辟谣了,就是导弹试射假假真真,真真假假!国人对于这样的事件都和见了鬼一样乱描述,到底是什么情况还不是很清楚。
2025-11-26 anbugou 小故事 10 ℃ -
双鱼玉佩是什么(双鱼玉佩是啥)
罗布泊,有牧人报告发现出现这种情况:天气发生异常,地表环境有短时间的重大变化,随即又会恢复原状。于是安排彭加木领队,主要是军队里的一些人组成的考察队,去调查。结果,有了重大发现------找到了一个基本保持完整的工程设施(很难形容这个设施)...
2025-11-26 anbugou 小故事 7 ℃ -
吴邪的真实身份是铁面生(吴邪怎么会有铁面生的记忆)
吴家就是铁面生的家族后裔!换句话说,吴邪是铁面生的后人,子孙。吴邪有铁面生的记忆,因为铁面生的身份在他的部落中非常特殊,他拥有着神秘的力量可以让他记住一些特殊的事情,而吴邪家族也是和铁面生有着密不可分的关系。此外,吴邪作为一个职业探墓人,也...
2025-11-26 anbugou 小故事 12 ℃ -
莫斯科地铁线路图(莫斯科地铁线路图图片)
莫斯科地铁站是世界上规模最大的地铁之一,还是世界上使用效率第二高的地下轨道系统(第一是纽约)。地下铁道考虑了战时的防护要求,可供400余万居民掩蔽之用。莫斯科地铁有195个车站、325.5公里的运营里程,其中就有44个站列入俄国文化遗产。莫...
2025-11-26 anbugou 小故事 8 ℃ -
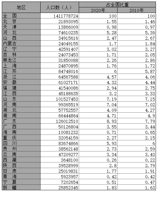
中国人口最多的省(中国人口最多的省份排名前十位)
第一名:广东省广东的人口位居全国第一,估计很多小伙伴可能都没想到,毕竟广东给人的感觉一直是很有钱的地方,毕竟北上广深四个一线城市中,广东就占了两个。但是你往往忽略了广东的人口,目前广东人口达到了1.1亿,这个数字在放到全世界都能排进前15,...
2025-11-26 anbugou 小故事 7 ℃ -
营口坠龙事件被隐藏的真相(营口坠龙事件真相揭秘)
没有因为超自然事件之坠龙事件是一部完整的电视剧,共计20集,故事情节完结。虽然《超自然事件之坠龙事件》已经结束了,但《超自然事件》系列还有其他的作品,比如《超自然事件》第一季至第十五季,以及相关的漫画和小说等。如果你喜欢这个系列,可以继续...
2025-11-26 anbugou 小故事 12 ℃ -
世界上最大的猫头鹰(世界上最大的猫头鹰图片)
斯特劳斯大角鸮是目前已知的。斯特劳斯大角鸮是猫头鹰中体型最大的一种,其高度可以达到76厘米,翼展可达到201厘米,重量可达到4公斤以上。斯特劳斯大角鸮主要分布于非洲和印度次大陆,在这些地区的广阔和多样化的森林、草原和沙漠中都...
2025-11-26 anbugou 小故事 7 ℃ -
男士美容一次多少钱(男士美容都有什么项目)
美容院大部分都是女性工作者。客户也是大部分以女性为主,几乎很少有男性。这是相对前端来说的。不知道你的专业是什么。但相对于后端运营就没这样的问题了,只要你的专业适合。如果你想去前端的话,咨询师(前提你的懂一下,专业和销售经验)可以考虑!简单来...
2025-11-26 anbugou 小故事 8 ℃ -
中国人口(中国人口最新数据)
14亿。中国人口有14亿多人,长期是世界第一大人口国家,大规模的人口也为中国经济发展注入了强大动力。人口红利一直以来是中国发展的重要动力,特别是改革开放以来,人口红利成就了很多企业。不过当前人口结构已经逐渐步入老龄化,印度人口增速快,也将很...
2025-11-26 anbugou 小故事 8 ℃ -
什么电脑好用(cad制图什么电脑好用)
现在买新电脑,只要是微软的,基本都是windows10的,windows7也有一部分老用户在使用,主要习惯了windows7的操作界面,还有早期有些旧软件对windows7的兼容性比较好,win10至14年发布都现在,已经7个年头,软件兼...
2025-11-26 anbugou 小故事 8 ℃
- 04-08关于母爱的作文350字(关于母爱的作文350字左右四年级(有题目))
- 04-08古文观止古诗文网(古文观止古诗文网在线阅读)
- 04-08夸父追日拼音(夸父追日拼音是什么)
- 04-08歌颂母爱的古诗词(歌颂母爱的诗句全部)
- 04-08狼来了短篇故事(经典故事狼来了)
- 04-08走进民间故事手抄报(《走进民间故事》手抄报)
- 04-08亡羊补牢连环画图片6张(亡羊补牢连环画图片简笔怎么画)
- 04-08希腊神话故事的手抄报(希腊神话故事的手抄报模板)
- 控制面板
- 网站分类
- 最新留言
-
